“案例下载”页面提供丰富的 COMSOL Multiphysics®教学案例和 App 演示文件,涉及电气、结构、声学、流体、传热和化工等各个学科领域。欢迎下载这些教学案例或 App 演示文件及其随附的操作说明,将其作为您建模仿真工作的绝佳起点。
您可以使用左侧的【快速搜索】工具查找与您的专业领域相关的案例模型和仿真 App。请注意,此处提供的许多案例也可以通过 COMSOL Multiphysics®软件内置的“案例库”进行访问,该选项位于软件的文件菜单中。
中文带有此标签的案例包含中文 PDF 文档。
电容耦合射频放电可以在两种不同的状态下工作,具体取决于放电功率。在低功率状态(称为 α 态)下,电场振荡导致产生热量,并产生电子。在高功率状态(称为 γ 态)下,放电主要由鞘层内的电子雪崩维持 ...扩展阅读
本教学案例通过求解与经典的两项近似法中的均质、瞬态电子玻尔兹曼方程全耦合的等离子体流体类型方程,对 ICP 反应器进行建模。针对空间的每个位置求解近似的玻尔兹曼方程,并通过电子平均能量将其与流体类型方程相耦合 ...扩展阅读
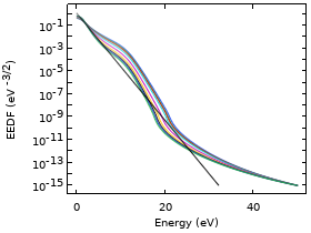
本教学案例通过研究演示氙的瞬态负迁移率和负微分电导率效应。其中使用两项近似中的稳态和瞬态玻尔兹曼方程来计算电子能量分布函数。电子能量分布函数、电子平均能量和漂移速度与 Z. Donko 和 N. Dyatko ...扩展阅读
本例使用全局模型来研究中等压力下的氢等离子体反应器,其中包含重物质热方程。在研究的第一部分中,我们使用了麦克斯韦电子能量分布函数;第二部分则采用两项近似的玻尔兹曼方程来自洽地求解全局模型。扩展阅读
本例采用以下三种不同的电子能量分布函数 (EEDF) 重新计算了“介质阻挡放电”(DBD) 一维模型: 麦克斯韦函数 Druyvesteyn 函数 基于玻尔兹曼方程,两项近似 接口计算的 EEDF ...扩展阅读
This tutorial model solves for an inductively coupled plasma reactor in a mixture of SF6/argon. The model ...扩展阅读
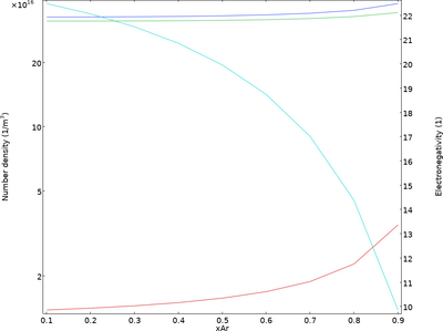
In this example, an SF6/argon plasma reactor at moderate pressure is studied using a global model. The heavy ...扩展阅读
Solving very large pressure acoustics models in the frequency domain can be challenging. Several iterative ...扩展阅读










